Разделы физики
Специальная теория относительности
Относительность пространства, времени, скорости.
Постулаты Энштейна
1. Первый постулат Энштейна:
Законы физики одинаковы во всех инерциальных системах отсчёта (ИСО).
Пояснение:
1. Нет «абсолютной» или «предпочтительной» системы отсчёта — все ИСО равноправны.
2. Никаким физическим экспериментом внутри замкнутой ИСО нельзя определить, движется ли она равномерно и прямолинейно или покоится.
3. Уравнения, описывающие законы природы, должны быть инвариантны (не меняться) при переходе от одной ИСО к другой.
2. Никаким физическим экспериментом внутри замкнутой ИСО нельзя определить, движется ли она равномерно и прямолинейно или покоится.
3. Уравнения, описывающие законы природы, должны быть инвариантны (не меняться) при переходе от одной ИСО к другой.
2. Второй постулат Энштейна:
Скорость света в вакууме c одинакова во всех инерциальных системах отсчёта и не зависит от движения источника или приёмника света.
Пояснение:
1. Если источник света движется навстречу вам или удаляется от вас, скорость пришедшего к вам света всё равно будет c (а не c + v или c − v, как предсказывала классическая механика).
2. c — универсальная константа и предельная скорость распространения любых сигналов и взаимодействий в природе.
3. Этот постулат противоречит классическому закону сложения скоростей и ведёт к радикальному пересмотру представлений о пространстве и времени.
2. c — универсальная константа и предельная скорость распространения любых сигналов и взаимодействий в природе.
3. Этот постулат противоречит классическому закону сложения скоростей и ведёт к радикальному пересмотру представлений о пространстве и времени.
Основные следствия из постулатов Энштейна
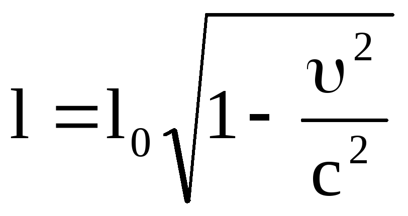
Относительность расстояний:
Пояснение:
l - длина объекта, измеренная в системе отсчёта, которая движется относительно объекта (м)
l0 - собственная длина объекта, измеренная в системе отсчёта, где объект находится в состоянии покоя (м)
υ - скорость движения объекта относительно системы отсчёта, в которой производится измерение длины (м/с)
c - скорость света в вакууме ( ≈3 × 108 м/с)
l0 - собственная длина объекта, измеренная в системе отсчёта, где объект находится в состоянии покоя (м)
υ - скорость движения объекта относительно системы отсчёта, в которой производится измерение длины (м/с)
c - скорость света в вакууме ( ≈3 × 108 м/с)
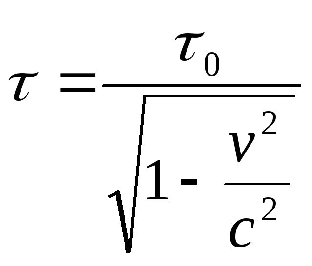
Относительность промежутков времени:
Пояснение:
τ(тау) - собственное время, измеренное в движущейся системе отсчёта (C)
τ0(тау) - время в покоящейся системе отсчёта (с)
υ - скорость движения объекта относительно неподвижной системы отсчёта (м/с)
c - скорость света в вакууме ( ≈3 × 108 м/с)
τ0(тау) - время в покоящейся системе отсчёта (с)
υ - скорость движения объекта относительно неподвижной системы отсчёта (м/с)
c - скорость света в вакууме ( ≈3 × 108 м/с)
Относительность массы:
Пояснение:
m - релятивистская масса объекта, то есть масса, измеренная в системе отсчёта, где объект движется со скоростью υ (кг)
m0 - масса покоя (собственная масса) объекта, то есть масса в системе отсчёта, где объект неподвижен (кг)
υ - скорость движения объекта относительно системы отсчёта, в которой измеряется масса (м/с)
c - скорость света в вакууме ( ≈3 × 108 м/с)
m0 - масса покоя (собственная масса) объекта, то есть масса в системе отсчёта, где объект неподвижен (кг)
υ - скорость движения объекта относительно системы отсчёта, в которой измеряется масса (м/с)
c - скорость света в вакууме ( ≈3 × 108 м/с)
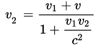
Релятивистская формула сложения скоростей:
Пояснение:
υ2 - конечная скорость объекта (или скорость в новой системе отсчёта) (м/с)
υ1 - начальная скорость объекта (скорость в исходной системе отсчёта) (м/с)
υ - скорость, с которой движется система отсчёта относительно исходной (м/с)
c - скорость света в вакууме ( ≈3 × 108 м/с)
υ1 - начальная скорость объекта (скорость в исходной системе отсчёта) (м/с)
υ - скорость, с которой движется система отсчёта относительно исходной (м/с)
c - скорость света в вакууме ( ≈3 × 108 м/с)
Релятивистская динамика
Энергия покоя:
Пояснение:
E0 - энергия покоя (МэВ или Дж)
m0 - масса покоя (инвариантная масса) (кг или а.е.м.)
c - скорость света в вакууме ( ≈3 × 108 м/с)
m0 - масса покоя (инвариантная масса) (кг или а.е.м.)
c - скорость света в вакууме ( ≈3 × 108 м/с)
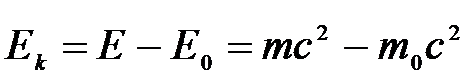
1. Релятивистская кинетическая энергия:
Пояснение:
Eк - кинетическая энергия частицы (то есть энергия движения) (МэВ или Дж)
E - полная энергия частицы (МэВ или Дж)
E0 -энергия покоя частицы (МэВ или Дж)
m - релятивистская масса частицы (масса, учитывающая увеличение массы при движении с околосветовой скоростью) (кг или а.е.м.)
m0 - масса покоя (инвариантная масса) (кг или а.е.м.)
c - скорость света в вакууме ( ≈3 × 108 м/с)
E - полная энергия частицы (МэВ или Дж)
E0 -энергия покоя частицы (МэВ или Дж)
m - релятивистская масса частицы (масса, учитывающая увеличение массы при движении с околосветовой скоростью) (кг или а.е.м.)
m0 - масса покоя (инвариантная масса) (кг или а.е.м.)
c - скорость света в вакууме ( ≈3 × 108 м/с)
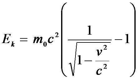
2. Релятивистская кинетическая энергия:
Пояснение:
Eк - кинетическая энергия частицы (то есть энергия движения) (МэВ или Дж)
m0 - масса покоя (инвариантная масса) (кг или а.е.м.)
c - скорость света в вакууме ( ≈3 × 108 м/с)
υ - скорость, с которой движется система отсчёта относительно исходной (м/с)
m0 - масса покоя (инвариантная масса) (кг или а.е.м.)
c - скорость света в вакууме ( ≈3 × 108 м/с)
υ - скорость, с которой движется система отсчёта относительно исходной (м/с)
Связь импульса и энергии:
Пояснение:
E - полная энергия частицы (или системы) (МэВ или Дж)
p - импульс (количество движения) частицы (кг·м/с)
m0 - масса покоя (инвариантная масса) (кг или а.е.м.)
c - скорость света в вакууме ( ≈3 × 108 м/с)
p - импульс (количество движения) частицы (кг·м/с)
m0 - масса покоя (инвариантная масса) (кг или а.е.м.)
c - скорость света в вакууме ( ≈3 × 108 м/с)