Разделы физики
Механика
Формулы движение и взаимодействие тел.
Кинематика
Скорость
При равномерном движении:
Пояснение:
υ - скорость (м/с)
S - путь (м)
t - время (с)
S - путь (м)
t - время (с)
При равноускоренном движении:
Пояснение:
υ - скорость тела (м/с)
υ0 - начальная скорость (м/с)
α - ускорение (м/с²)
t - время (с)
υ0 - начальная скорость (м/с)
α - ускорение (м/с²)
t - время (с)
При свободном падении тел:
Пояснение:
υ - скорость тела (м/с)
υ0 - начальная скорость (м/с)
g - ускорение сободного падения (9,8 м/с²)
υ0 - начальная скорость (м/с)
g - ускорение сободного падения (9,8 м/с²)
Скорость по оси X:
Пояснение:
υx - проекция скорости на ось X (м/с)
υ0 - начальная скорость (м/с)
cos α - косинус угла α
(между v0 и осью X)
υ0 - начальная скорость (м/с)
cos α - косинус угла α
(между v0 и осью X)
Скорость по оси Y:
Пояснение:
υy - проекция скорости на ось Y (м/с)
υy0 - начальная скорость (м/с)
t - время
v0 - модуль начальной скорости
sin α0 - синус угла броска (α0)
g- ускорение свободного падения (9,8 м/с²)
υy0 - начальная скорость (м/с)
t - время
v0 - модуль начальной скорости
sin α0 - синус угла броска (α0)
g- ускорение свободного падения (9,8 м/с²)
Путь(высота)
При равномерном движении:
Пояснение:
S - путь (м)
υ - скорость (м/с)
t - время (с)
υ - скорость (м/с)
t - время (с)
При равноускоренном движении:
ИЛИ
Пояснение:
S - путь (м)
υ - скорость (м/с)
υ0 - начальная скорость (м/с)
α - ускорение (м/с²)
t - время (с)
υ - скорость (м/с)
υ0 - начальная скорость (м/с)
α - ускорение (м/с²)
t - время (с)
Высота подъёма:
Пояснение:
y(h) - высота (м)
υ0 - начальная скорость (м/с)
t - время (с)
sin α — синус угла броска (α)
g - ускорение сободного падения (9,8 м/с²)
υ0 - начальная скорость (м/с)
t - время (с)
sin α — синус угла броска (α)
g - ускорение сободного падения (9,8 м/с²)
Максимальная высота подъёма:
Пояснение:
hmax - максимальная высота (м)
υ0 - начальная скорость (м/с)
sin α — синус угла броска (α)
g - ускорение сободного падения (9,8 м/с²)
υ0 - начальная скорость (м/с)
sin α — синус угла броска (α)
g - ускорение сободного падения (9,8 м/с²)
Высота брошенного тела:
Пояснение:
h - высота (м)
t - время (c)
g - ускорение сободного падения (9,8 м/с²)
t - время (c)
g - ускорение сободного падения (9,8 м/с²)
Дальность броска:
Пояснение:
l - дальность полёта
υ0 - начальная скорость (м/с)
t - время (c)
cos α - угол броска(α)
υ0 - начальная скорость (м/с)
t - время (c)
cos α - угол броска(α)
Уравнения движения
При равномерном движении:
Пояснение:
x - конечная координата (м)
x0 - начальная координата (м)
υ - скорость (м/с)
t - время (с)
x0 - начальная координата (м)
υ - скорость (м/с)
t - время (с)
При равноускоренном движении:
Пояснение:
x - конечная координата (м)
x0 - начальная координата (м)
υ0 - начальная скорость (м/с)
t - время (с)
α - ускорение (м/с²)
x0 - начальная координата (м)
υ0 - начальная скорость (м/с)
t - время (с)
α - ускорение (м/с²)
Тело брошенное под углом, по оси X:
Пояснение:
x - конечная координата (м)
x0 - начальная координата (м)
υx - проекция скорости (м/с)
t - время (с)
υ0 - начальная скорость (м/с)
cos α0 - косинус угла броска α0
x0 - начальная координата (м)
υx - проекция скорости (м/с)
t - время (с)
υ0 - начальная скорость (м/с)
cos α0 - косинус угла броска α0
Тело брошенное под углом, по оси Y:
Пояснение:
y - конечная координата (м)
y0 - начальная координата (м)
υ0 - начальная скорость (м/с)
t - время (с)
sin α0 — синус угла броска (α0)
g - ускорение сободного падения (9,8 м/с²)
y0 - начальная координата (м)
υ0 - начальная скорость (м/с)
t - время (с)
sin α0 — синус угла броска (α0)
g - ускорение сободного падения (9,8 м/с²)
Ускорение
При равномерном движении:
α = 0
При равноускоренном движении:
Пояснение:
α - ускорение (м/с²)
υ - скорость тела (м/с)
υ0 - начальная скорость (м/с)
t - время (с)
υ - скорость тела (м/с)
υ0 - начальная скорость (м/с)
t - время (с)
При свободном падении:
Пояснение:
α(g) - ускорение (м/с²)
υ - скорость тела (м/с)
υ0 - начальная скорость (м/с)
t - время (с)
υ - скорость тела (м/с)
υ0 - начальная скорость (м/с)
t - время (с)
Движение по окружности
Период:
Пояснение:
T - период (с)
t - время (с)
n - число обротов
ν(ню) – частота (Гц)
t - время (с)
n - число обротов
ν(ню) – частота (Гц)
Частота:
Пояснение:
ν(ню) – частота (Гц)
T - период (с)
t - время (с)
N(n) - число обротов
T - период (с)
t - время (с)
N(n) - число обротов
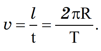
Линейная скорость движения материальной точки по окружности:
Пояснение:
υ - линейная скорость (м/с)
l - длинна окружности (м)
t - время (с)
R - радиус окружности (м)
T - период (с)
π = 3,14
l - длинна окружности (м)
t - время (с)
R - радиус окружности (м)
T - период (с)
π = 3,14
Угловая скорость:
Пояснение:
ω(омега) - угловая скорость(рад/с)
ν(ню) – частота (Гц)
T - период (с)
π = 3,14
ν(ню) – частота (Гц)
T - период (с)
π = 3,14
Зависимость угловой скорости от линейной:
Пояснение:
ω(омега) - угловая скорость (рад/с)
υ - линейная скорость (м/с)
R - радиус окружности (м)
υ - линейная скорость (м/с)
R - радиус окружности (м)
Центростремительное ускорение:
Пояснение:
αцc - центростремительное ускорение (м/с²)
υ - линейная скорость (м/с)
R - радиус окружности (м)
ω(омега) - угловая скорость(рад/с)
υ - линейная скорость (м/с)
R - радиус окружности (м)
ω(омега) - угловая скорость(рад/с)
Динамика
Законы Ньютона
Первый закон Ньютона:
Тело сохраняет состояние покоя или равномерного прямолинейного движения, если на него не действуют другие тела или действие этих сил скомпенсировано.Пояснение:
F1 + F2 + F3 + ... Fn = 0
Второй закон Ньютона:
Ускорение тела в инерциальной системе отсчёта прямо пропорционально приложенной к нему силе и обратно пропорционально массе.Пояснение:
m - масса тела (кг)
a - ускорение (м/с²)
Третий закон Ньютона:
Силы взаимодействия двух материальных точек равны по величине, противоположно направлены, и действуют вдоль прямой, соединяющей эти точки.Пояснение:
F2 – сила действующая со стороны второго тела (Н)
Космические скорости
Первая космическая скорость:
Пояснение:
- минимальная скорость, необходимая, чтобы тело стало искусственным спутником планеты и двигалось по круговой орбите у её поверхности (без учёта атмосферы).
υ1 - первая космическая (м/с)
G - гравитационная постоянная (≈6,67430 x 10-11 (м3•кг-1/c-2))
M - масса планеты (кг)
(для Земли ≈ 5,972 x 1024 (кг))
R - радиус планеты (м)
(для Земли ≈ 6,371 x 106 (м))
Для Земли: v1 ≈ 7,91 км/с.
υ1 - первая космическая (м/с)
G - гравитационная постоянная (≈6,67430 x 10-11 (м3•кг-1/c-2))
M - масса планеты (кг)
(для Земли ≈ 5,972 x 1024 (кг))
R - радиус планеты (м)
(для Земли ≈ 6,371 x 106 (м))
Для Земли: v1 ≈ 7,91 км/с.
Вторая космическая скорость:
Пояснение:
- минимальная скорость, позволяющая телу полностью преодолеть гравитацию планеты и уйти в космическое пространство по параболической траектории (без дальнейшего разгона).
υ1 - первая космическая (м/с)
υ2 - вторая космическая (м/с)
g - ускорение свободного падения (9,8 м/с²)
G - гравитационная постоянная (≈6,67430 x 10-11 (м3•кг-1/c-2))
M - масса планеты (кг)
(для Земли ≈ 5,972 x 1024 (кг))
R(Rз) - радиус планеты (м)
(для Земли ≈ 6,371 x 106 (м))
Для Земли: v2 ≈ 11,2 км/с.
υ1 - первая космическая (м/с)
υ2 - вторая космическая (м/с)
g - ускорение свободного падения (9,8 м/с²)
G - гравитационная постоянная (≈6,67430 x 10-11 (м3•кг-1/c-2))
M - масса планеты (кг)
(для Земли ≈ 5,972 x 1024 (кг))
R(Rз) - радиус планеты (м)
(для Земли ≈ 6,371 x 106 (м))
Для Земли: v2 ≈ 11,2 км/с.
Третья космическая скорость:
Пояснение:
- минимальная скорость, необходимая, чтобы тело, стартуя с Земли, покинуло Солнечную систему (преодолело притяжение и Солнца, и Земли).
Для Земли: v3 ≈ 16,65 км/с (значение зависит от направления запуска относительно орбитального движения Земли).
Для Земли: v3 ≈ 16,65 км/с (значение зависит от направления запуска относительно орбитального движения Земли).
Четвертая космическая скорость:
υ4 = √2 x υгал
Пояснение:
- минимальная скорость, чтобы покинуть галактику (преодолеть гравитацию Млечного Пути в окрестности Солнца).
υ4 - четвертая космическая(м/с)
υгал - вторая космическая (м/с)
υгал - характерная скорость вращения звёзд в галактике вокруг её центра (м/с)
(в окрестности Солнца ≈ 220 км/с)
Для окрестности солнца:
v4 ≈ 550 км/с.
(очень приблизительная оценка, так как распределение массы в галактике неоднородно)
υ4 - четвертая космическая(м/с)
υгал - вторая космическая (м/с)
υгал - характерная скорость вращения звёзд в галактике вокруг её центра (м/с)
(в окрестности Солнца ≈ 220 км/с)
Для окрестности солнца:
v4 ≈ 550 км/с.
(очень приблизительная оценка, так как распределение массы в галактике неоднородно)
Природные силы
Сила всемирного тяготения:
Пояснение:
F - Сила тяготения (н)
G - гравитационная постоянная (≈6,67430 x 10-11 (м3•кг-1/c-2))
m1 - масса первого тела (кг)
m2 - масса первого тела (кг)
R - расстояние между центрами масс этих тел (м)
G - гравитационная постоянная (≈6,67430 x 10-11 (м3•кг-1/c-2))
m1 - масса первого тела (кг)
m2 - масса первого тела (кг)
R - расстояние между центрами масс этих тел (м)
Сила тяжести:
Пояснение:
F - Сила тяжести (н)
m - масса тела (кг)
g - ускорение свободного падения (9,8 м/с²)
m - масса тела (кг)
g - ускорение свободного падения (9,8 м/с²)
Сила упругости (закон Гука):
Пояснение:
Fупр - Сила упругости (н)
k - жёсткость (н/м)
Δx - абсолютное удлинение (м)
Δx = Δl = l - l0
k - жёсткость (н/м)
Δx - абсолютное удлинение (м)
Δx = Δl = l - l0
Δl - изменение длины (м)
l - конечная длинна (м)
l0 - начальная длинна (м)
Cила трения:
Пояснение:
Fтр - Сила трения (н)
μ(мю) - коэффициент трения
N - сила нормальной реакции опоры (н)
(значения μ в таблице)
μ(мю) - коэффициент трения
N - сила нормальной реакции опоры (н)
(значения μ в таблице)
Cила трения покоя:
Пояснение:
Fтр.пок - Сила трения покоя (н)
-F - толкающая сила (н)
-F - толкающая сила (н)
Cила трения скольжения:
Пояснение:
Fтр.ск - сила трения скольжения (н)
μ(мю) - коэффициент трения
N - сила нормальной реакции опоры (н)
F
- максимальная сила трения покоя (н)
(значения μ в таблице)
μ(мю) - коэффициент трения
N - сила нормальной реакции опоры (н)
F
| max тр.пок |
(значения μ в таблице)
Cила реакции опоры:
N = F = mg
Пояснение:
F - сила (н)
m - масса (кг)
g - ускорение свободного падения (9,8 м/с²)
m - масса (кг)
g - ускорение свободного падения (9,8 м/с²)
Вес тела – сила, с которой тело давит на опору или подвес.
Вес тела в состоянии покоя:
Пояснение:
P - вес тела (н)
m - масса тела (кг)
ρ(ро) - плотность тела (кг/м³)
v - объём тела (м³)
g - ускорение свободного падения (9,8 м/с²)
m - масса тела (кг)
ρ(ро) - плотность тела (кг/м³)
v - объём тела (м³)
g - ускорение свободного падения (9,8 м/с²)
Вес тела, движущегося с ускорением вверх:
P = m(g + a)
Пояснение:
P - вес тела (н)
m - масса тела (кг)
a - ускорение (м/с²)
g - ускорение свободного падения (9,8 м/с²)
m - масса тела (кг)
a - ускорение (м/с²)
g - ускорение свободного падения (9,8 м/с²)
Вес тела, движущегося с ускорением вниз:
P = m(g - a)
Пояснение:
P - вес тела (н)
m - масса тела (кг)
a - ускорение (м/с²)
g - ускорение свободного падения (9,8 м/с²)
m - масса тела (кг)
a - ускорение (м/с²)
g - ускорение свободного падения (9,8 м/с²)
Вес тела при свободном падении:
P = 0
Натяжение нити
При вертикальном подвесе груза:
Пояснение:
T - натяжение нити (н)
m - масса груза (кг)
g - ускорение свободного падения (9,8 м/с²)
m - масса груза (кг)
g - ускорение свободного падения (9,8 м/с²)
Если система движется с ускорением вверх:
T = m(g + a)
Пояснение:
Т - натяжение нити (н)
m - масса груза (кг)
a - ускорение (м/с²)
g - ускорение свободного падения (9,8 м/с²)
m - масса груза (кг)
a - ускорение (м/с²)
g - ускорение свободного падения (9,8 м/с²)
Если система движется с ускорением вниз:
T = m(g - a)
Пояснение:
Т - натяжение нити (н)
m - масса груза (кг)
a - ускорение (м/с²)
g - ускорение свободного падения (9,8 м/с²)
m - масса груза (кг)
a - ускорение (м/с²)
g - ускорение свободного падения (9,8 м/с²)
Подвешенный груз действует на нить под углом :
T = mg × cos α
Пояснение:
T - натяжение нити (н)
m - масса груза (кг)
cos α - угол отклонения
g - ускорение свободного падения (9,8 м/с²)
m - масса груза (кг)
cos α - угол отклонения
g - ускорение свободного падения (9,8 м/с²)
Если действует сила Архимеда:
T = mg - FA
Пояснение:
Т - натяжение нити (н)
m - масса груза (кг)
FA - сила Архимеда (н)
g - ускорение свободного падения (9,8 м/с²)
m - масса груза (кг)
FA - сила Архимеда (н)
g - ускорение свободного падения (9,8 м/с²)
Статика
Условия равновесия
Первое условие:
Сумма всех внешних сил, действующих на тело, должна быть равна нулю.Пояснение:
F1 + F2 + F3 + ... Fn = 0
Второе условие:
Второе условие равновесия твёрдого тела записывается как алгебраическая сумма всех моментов сил, действующих на тело, равна нулю.Пояснение:
M1 + M2 + M3 + ... Mn = 0
Условие равновесия рычага:
Пояснение:
F1,2 - силы (н)
l1,2 - плечи сил (м)
l1,2 - плечи сил (м)
Момент силы:
Пояснение:
M - момент силы (Н•м)
F - сила (н)
l - плечо силы (м)
F - сила (н)
l - плечо силы (м)
Момент инерции материальной точки:
Пояснение:
J - момент инерции (кг · м²)
m - масса точки (кг)
r - расстояние до оси вращения (м)
m - масса точки (кг)
r - расстояние до оси вращения (м)
Законы сохранения
Механическая энергия
Полная механическая энергия:
Емех=Ек+Еп
Пояснение:
Eк - кинетическая энергия (Дж)
Eп - потенциальная энергия (Дж)
Eп - потенциальная энергия (Дж)
Закон сохранения энергии:
Ек1+Еп1=Ек2+Еп2
Пояснение:
Eк - кинетическая энергия (Дж)
Eп - потенциальная энергия (Дж)
Eп - потенциальная энергия (Дж)
Потенциальная энергия в поле гравитации:
Пояснение:
Eп - потенциальная энергия (Дж)
m - масса тела (кг)
h - высота (м)
g - ускорение свободного падения (м/с²)
m - масса тела (кг)
h - высота (м)
g - ускорение свободного падения (м/с²)
Потенциальная энергия у пружины:
Пояснение:
Eп - потенциальная энергия (Дж)
k - жёсткость (н/м)
x - удлинение (м)
k - жёсткость (н/м)
x - удлинение (м)
Кинетическая энергия:
Пояснение:
Eк - кинетическая энергия (Дж)
m - масса тела (кг)
υ - скорость тела (м/с)
m - масса тела (кг)
υ - скорость тела (м/с)
Работа потенциальной энергии:
Пояснение:
А - работа (Дж)
Eп1 - потенциальная энергия в начальном состоянии (Дж)
Eп2 - потенциальная энергия в конечном состоянии (Дж)
Eп1 - потенциальная энергия в начальном состоянии (Дж)
Eп2 - потенциальная энергия в конечном состоянии (Дж)
Работа кинетической энергии:
Пояснение:
А - работа (Дж)
Eк1 - кинетическая энергия в начальном состоянии (Дж)
Eк2 - кинетическая энергия в конечном состоянии (Дж)
Eк1 - кинетическая энергия в начальном состоянии (Дж)
Eк2 - кинетическая энергия в конечном состоянии (Дж)
Импульс тела
Импульс тела:
Пояснение:
P - импульс (кг • м/с)
m - масса тела (кг)
υ - скорость тела (м/с)
m - масса тела (кг)
υ - скорость тела (м/с)
Импульс силы:
Пояснение:
ΔP - изменение импульса (кг • м/с)
F - сила (н)
Δt - время (с)
F - сила (н)
Δt - время (с)
Закон сохранения импульса:
Пояснение:
p1, p2 - импульс тел до взаимодействия (кг • м/с)
p1`, p2` - импульс тел после взаимодействия (кг • м/с)
p1`, p2` - импульс тел после взаимодействия (кг • м/с)
Момент импульса:
Пояснение:
L - момент импульса (кг · м²/с)
m - масса материальной точки (кг)
v - линейная скорость точки (м/с)
r - радиус окружности (м)
m - масса материальной точки (кг)
v - линейная скорость точки (м/с)
r - радиус окружности (м)
Механическая работа
Механическая работа трения:
Пояснение:
А - работа трения (Дж)
Fтр - сила трения (н)
Δr - перемещение тела (м)
Fтр - сила трения (н)
Δr - перемещение тела (м)
Мех.работа, при α = 0°:
Пояснение:
А - работа (Дж)
F - сила (н)
S - перемещение (м)
α - угол между F и S
F - сила (н)
S - перемещение (м)
α - угол между F и S
Мех.работа, при 0° < α < 90°:
Пояснение:
А - работа (Дж)
F - сила (н)
S - перемещение (м)
α - угол между F и S
F - сила (н)
S - перемещение (м)
α - угол между F и S
Мех.работа, при α = 90°:
Пояснение:
А - работа (Дж)
α - угол между F и S
α - угол между F и S
Мех.работа, при 90° < α < 180°:
Пояснение:
А - работа (Дж)
F - сила (н)
S - перемещение (м)
α - угол между F и S
F - сила (н)
S - перемещение (м)
α - угол между F и S
Мех.работа, при α = 180°:
Пояснение:
А - работа (Дж)
F - сила (н)
S - перемещение (м)
α - угол между F и S
F - сила (н)
S - перемещение (м)
α - угол между F и S
Мощность:
Пояснение:
N - мощность (Вт)
А - работа (Дж)
t - время (с)
А - работа (Дж)
t - время (с)
Мощность мгновения:
Пояснение:
N - мощность (Вт)
F - сила (н)
υ - скорость (м/с)
α - угол между F и υ
F - сила (н)
υ - скорость (м/с)
α - угол между F и υ
Механические колебания и волны
Характеристики механических колебаний
Период:
Пояснение:
T - период (с)
t - время (с)
n - число обротов
ν(ню) – частота (Гц)
t - время (с)
n - число обротов
ν(ню) – частота (Гц)
Частота:
Пояснение:
ν(ню) – частота (Гц)
T - период (с)
t - время (с)
N(n) - число обротов
T - период (с)
t - время (с)
N(n) - число обротов
Циклическая частота:
Пояснение:
ω(омега) - циклическая частота (рад/с)
ν(ню) – частота (Гц)
T - период (с)
π = 3,14
ν(ню) – частота (Гц)
T - период (с)
π = 3,14
Маятники
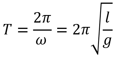
Период математического маятника:
Пояснение:
T - период (с)
π = 3,14
ω - циклическая частота (рад/с)
l - длинна нити (м)
g - ускорение свободного падения (9,8 м/с²)
π = 3,14
ω - циклическая частота (рад/с)
l - длинна нити (м)
g - ускорение свободного падения (9,8 м/с²)
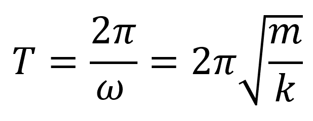
Период пружинного маятника:
Пояснение:
T - период (с)
π = 3,14
ω - циклическая частота (рад/с)
m - масса груза (кг)
k - жесткость пружины (н/м)
π = 3,14
ω - циклическая частота (рад/с)
m - масса груза (кг)
k - жесткость пружины (н/м)
Полная механическая энегрия маятника
Пояснение:
E - механическая энегрия маятника (Дж)
m - масса тела (кг)
υ - скорость тела (м/с)
k - жёсткость пружины (н/м)
x - удлинение пружины (м)
υmax - скорость тела(амплитуда) (м/с)
xmax - удлинение пружины(амплитуда) (м)
m - масса тела (кг)
υ - скорость тела (м/с)
k - жёсткость пружины (н/м)
x - удлинение пружины (м)
υmax - скорость тела(амплитуда) (м/с)
xmax - удлинение пружины(амплитуда) (м)
Резонанс:
Условие резонанса:
νвын – частота вынужденных колебаний (Гц)
νсоб = νвын
νсоб – собственная частота системы (Гц)νвын – частота вынужденных колебаний (Гц)
Пояснение:
- это резкое возрастание амплитуды вынужденных колебаний системы при совпадении частоты вынуждающей силы с собственной частотой колебаний системы.
Гармонические колебания(координата тела):
Пояснение:
x - координата тела (м)
A - амплитуда колебаний
ω0 - циклическая частота (рад/с)
t - время (с)
φ (фи) — начальная фаза (рад)
(ωt + φ) - фаза колебания (рад)
A - амплитуда колебаний
ω0 - циклическая частота (рад/с)
t - время (с)
φ (фи) — начальная фаза (рад)
(ωt + φ) - фаза колебания (рад)
Гармонические колебания(координата скорости)
Пояснение:
υx - координата скорости (м/с)
A - амплитуда колебаний
ω - циклическая частота (рад/с)
ωA = υmax
t - время (с)
φ0(фи) - начальная фаза (рад)
(ωt + φ) - фаза колебания (рад)
A - амплитуда колебаний
ω - циклическая частота (рад/с)
ωA = υmax
t - время (с)
φ0(фи) - начальная фаза (рад)
(ωt + φ) - фаза колебания (рад)
Гармонические колебания(координата ускорения)
Пояснение:
αx - координата ускорения (м/с)
A - амплитуда колебаний
ω - циклическая частота (рад/с)
ω2A = αmax
t - время (с)
φ0(фи) - начальная фаза (рад)
(ωt + φ) - фаза колебания (рад)
A - амплитуда колебаний
ω - циклическая частота (рад/с)
ω2A = αmax
t - время (с)
φ0(фи) - начальная фаза (рад)
(ωt + φ) - фаза колебания (рад)
Механические волны
Скорость волны:
Пояснение:
υ - скорость волны (м/с)
λ - длинна волны (м)
T - период (с)
ν – частота (Гц)
λ - длинна волны (м)
T - период (с)
ν – частота (Гц)
Гидростатика и аэростатика
Давление жидкостей и газов
Закон Паскаля для жидкостей:
Пояснение:
- гидростатическое давление, которое оказывает столб жидкости на дно и стенки сосуда.
p - давление (Па)
ρ(ро) - плотность жидкости (кг/м³)
h - высота столба жидкости (м)
g - ускорение свободного падения (9,8 м/с²)
(значения ρв таблице)
p - давление (Па)
ρ(ро) - плотность жидкости (кг/м³)
h - высота столба жидкости (м)
g - ускорение свободного падения (9,8 м/с²)
(значения ρв таблице)
Закон Паскаля для газов:
Пояснение:
- гидростатическое давление, которое оказывает столб жидкости на дно и стенки сосуда.
p - давление (Па)
F - приложенная сила (н)
S - площадь поверхности/сосуда (м²)
p - давление (Па)
F - приложенная сила (н)
S - площадь поверхности/сосуда (м²)
Полное давление в любой точке жидкости:
Пояснение:
p - давление жидкости (Па)
p0 - давление на её свободной поверхности (Па)
ρ(ро) - плотность жидкости (кг/м³)
g - ускорение свободного падения (9,8 м/с²)
h - высота столба жидкости (м)
(значения ρ в таблице)
p0 - давление на её свободной поверхности (Па)
ρ(ро) - плотность жидкости (кг/м³)
g - ускорение свободного падения (9,8 м/с²)
h - высота столба жидкости (м)
(значения ρ в таблице)
Сила жидкостей и газов
Сила давления на дно сосуда:
Пояснение:
F - приложенная сила (н)
ρ(ро) - плотность жидкости (кг/м³)
g - ускорение свободного падения (9,8 м/с²)
h - высота столба жидкости (м)
Sд - площадь дна сосуда (м²)
(значения ρ в таблице)
ρ(ро) - плотность жидкости (кг/м³)
g - ускорение свободного падения (9,8 м/с²)
h - высота столба жидкости (м)
Sд - площадь дна сосуда (м²)
(значения ρ в таблице)
Сила давления на стенки сосуда:
Пояснение:
F - приложенная сила (н)
ρ(ро) - плотность жидкости (кг/м³)
h - высота столба жидкости (м)
g - ускорение свободного падения (9,8 м/с²)
Sст - площадь стенок сосуда (м²)
(значения ρ в таблице)
ρ(ро) - плотность жидкости (кг/м³)
h - высота столба жидкости (м)
g - ускорение свободного падения (9,8 м/с²)
Sст - площадь стенок сосуда (м²)
(значения ρ в таблице)
Соотношение сил в гидравлическом прессе:
Пояснение:
F1 - сила, действующая на первый (обычно больший) поршень (н)
S1 - площадь первого поршня (м²)
F2 - сила, приложенная ко второму (обычно меньшему) поршню (н)
S2 - площадь второго поршня (м²)
S1 - площадь первого поршня (м²)
F2 - сила, приложенная ко второму (обычно меньшему) поршню (н)
S2 - площадь второго поршня (м²)
Закон Архимеда, если тело плавает:
Пояснение:
FA - сила Архимеда (н)
ρ(ро) - плотность жидкости (кг/м³)
g - ускорение свободного падения (9,8 м/с²)
V - объём тела (м³)
(значения ρ в таблице)
ρ(ро) - плотность жидкости (кг/м³)
g - ускорение свободного падения (9,8 м/с²)
V - объём тела (м³)
(значения ρ в таблице)
Закон Архимеда, если тело полностью погруженно:
FA = mgПояснение:
FA - сила Архимеда (н)
m - масса тела (кг)
g - ускорение свободного падения (9,8 м/с²)
m - масса тела (кг)
g - ускорение свободного падения (9,8 м/с²)